Instaclave Technologies - State Of The Art Composite Inflatables
by Phillip DePond & John Steven Calder

Carbon fiber composites are widely used for high performance applications because of their high strength, high stiffness, and low density. Because of the performance enhancements attributable to carbon fiber composites, these materials are characterized as militarily critical technology. Carbon fibers are high-strength, high-stiffness (elastic modulus) materials that are combined with a matrix material, most commonly an epoxy plastic, to form an advanced composite material. It is the combination of high strength, high stiffness, and low density that makes carbon fiber composites so appealing for many demanding aerospace applications [1].

Environmental demands and fuel economy are key driving forces behind the use of lightweight design and advanced lightweight material systems in the aerospace and automotive sector [5,6,7,8]. Advanced composite materials, such as carbon-fiber reinforced polymers (CFRP), combine high specific stiffness with design flexibility and therefore have particularly high weight-reduction potential.

In aerospace applications the use of CFRP-materials can result in lifetime CO2-reductions of 14-20% [9], well on the way to reaching future emission targets [10]. Similarly, lightweight design and advanced composite materials have promising environmental benefits for fossil-fuel-based automotive applications [11] as well as pure electric vehicles, where the reduced structure weight counterbalances added battery weight [12]. Every 10 kg of reduction of a vehicle reduces the fuel consumption and leads to a drop in carbon emission of 1g/km [17]. A number of use cases for carbon fiber can be realized, chassis [18], engine cradle [19], ribs [20].  For example, new BMW electric vehicles are largely made of carbon fiber. The car body of this material is 50% lighter than steel and 30% lighter than aluminum.

Historically, Large strain materials have been used extensively by the deployable space structures community to build reliable and highly compactable structures such as storable tubular extendible masts (STEM) [21,22, 23] , continuous longeron trusses [24] and wrap-rib reflectors [25,26].  While successful, these architectures all exhibit relatively low structural hierarchy compared to alternate approaches and are limited in their potential structural performance and sizes.

Suitable materials for large strain deployable structures must satisfy two conflicting requirements. First, the materials must be capable of large strains for compact packaging and design freedom. Second, the materials must be stiff in the deployed configuration.  It is acceptable and often desirable if the material modulus decreases during packaging so that less strain energy is stored.

It is the deployed material modulus (and density) that ultimately determines the structural mass

efficiency of a deployed structure. However, there is a trade between modulus for deployed performance and strain for packaging performance and materials that are optimal for one property are often poor with the other.

Several approaches have been researched to address this challenge.  Rigidizable materials are materials that are initially flexible to facilitate inflation or deployment, and become rigid when exposed to an external influence. The influence can be inflation gas, heating, ultraviolet radiation, high energy radiation and cooling.  Inflatable components made of rigidizable materials can have a variety of space applications, from wheels of rovers for traveling on planetary surfaces [38], to lenticular elements for space solar power collection, solar shield, radio and radar antennas [39], to multifunctional structures performing several functions beside carrying mechanical loads [40], to meteoroid debris shielding [41].

Rigidizable composite materials were initially developed by companies such as  L’Garde Incorporated [27,28] , ILC Dover LP [29], and Composite Technology Development Incorporated [30,31].  

These companies developed carbon fiber based material systems with heat softenable matrix materials. When heated, the materials can be folded to very large strains repeatedly without degradation of their unfolded ability to resist buckling [28]. The primary limitation of these materials is the extreme challenge of engineering and testing the in space heating and cooling systems they require. Including a multitude of other issues, and as a result, rigidizable structures with both compact packaging and good deployed structural mass efficiency have rarely been achieved, even though, Figure 1, they have extremely high structural efficiency.

Diagram

Description automatically generated

Figure 1: Comparison of the structural mass efficiency of materials used in mechanical and material deformation based deployable structures [32].

Though not realized in practice, high strain deployable structures made from composites have continued to be an active area of research.  Steven et al. [34] has discussed the development of Next Generation Launch Vehicles by application of Advanced Grid Stiffened Structures (AGS).

This technique was used to manufacture a payload shroud, a conical component that encapsulates the payload on a Launch Vehicle [35] which resulted in 61% weight reduction and 88% fabrication time reduction as compared to its aluminum counterparts. Theriot et al. [35] has discussed shielding of space radiation using composite materials including lunar regolith.

Zhong et al. [36] has discussed shielding tests of composites against cosmic radiations. [37]

Towards a path to technology maturation, RIGEX was an Air Force Institute of Technology graduate-student-built Space Shuttle cargo bay experiment intended to heat and inflate three 20-inch long carbon fiber tubes in a microgravity environment [43]. Inflatable space structures enjoy the advantage of weighing 50-75% less than mechanical alternatives and can be packaged in 25% of the volume [44]. Investigation in inflatable deployable space structures began in the 1950's [45].

Early space lift vehicles, which were converted Intercontinental Ballistic Missiles (ICBM), had very limited payload weight and volume capacity. NASA recognized inflatables, humanity's oldest flight technology, exhibited the right mix of low weight and small stowed volume necessary to reach orbit onboard the contemporary launch vehicles. The rapid increase in launch vehicle volume and weight capacity of the 1960's allowed designers to return to heavier, though more familiar, mechanical deployment methods which led to waning interest in inflatables during the 1960's and 1970's [44].

Other reasons for the decline included concerns with long-term environmental effects potentially causing material degradation, exaggerated fears of meteoroid flux causing punctures and thus deflation, and finally, perceived risks created by a lack of analytical tools and experience.

These concerns led spacecraft designers to build mechanical structures based on established aerospace technology [46]. Interest in inflatable structures has returned, however, spurred on by ever increasing launch costs and increasingly challenging requirements placed on mission payloads. As mission requirements demand greater performance, mission payload complexity increases, which in turn increases payload weight and volume. The mission payload is almost always the spacecraft configuration design driver [47], and traditionally accounts for 17-50% of the spacecraft dry weight, with an average around 30%.

The spacecraft must be large enough to accommodate payload dimensions and/or be able to manipulate the payload if necessary, and the spacecraft must generate the power necessary for mission payload operation plus the spacecraft bus allowance and battery recharging. Given this relation between mission payload and spacecraft size, if the space system exceeds the current

launch capability - no matter how necessary or revolutionary a mission payload may be

- the spacecraft cannot be launched [48].

Consider the Hubble Space Telescope - aperture diameter of 2.4m, overall spacecraft dimensions are 4.2m diameter and 13.1m length - this effectively fills the Space Shuttle cargo bay, dimensioned 4.6m diameter by 18.1m length. The obvious conclusion is current technology combined with current space lift technology cannot meet the order of magnitude growth NASA is looking for.

With no substantial increase in launch capability for the foreseeable future, deployable inflatable/rigidizable structures are the only viable solution, and this is what has been seen for the James Webb telescope, albeit with weeks-long unfolding on top of the months-long calibration. Broadening the discussion from mission payloads to include habitats, aero brakes, decoys, solar sails, sunshades, solar arrays, rovers, and much more, the horizon is bright for space structures utilizing inflatable/rigidizable materials.

In the short history of space exploration, there are many examples of inflatable and deflatable/rigidizable space structures. The first space inflatable to reach orbit was NASA's Echo 1a, launched in 1960 [50]. Echo II, the second inflatable space structure, was actually the first inflatable/rigidizable space structure. Using the pressure rigidized aluminum foil technique, inflation strain hardened the aluminum coating of Echo II into a spherical shape and the internal pressure was released via built in vents.

Explorer IX, XIX, and PAGEOS I are further examples of early NASA inflatable missions and carried on the legacy of the Echo missions. As scientific interest waned for inflatables in the 1970's, they developed an important role in the ICBM community. Low weight, small stowed volume, reliability, and the ability to withstand nuclear blasts led to the use of inflatables as decoys [46].

No topic on inflatable structures would be complete without mentioning the Inflatable Antenna Experiment. Flown in May 1996, the wildly successful IAE reopened the eyes of the space community to the potential of inflatable and inflatable/rigidized space structures.

Following this, Bigelow and Johnson Space Center engineers have developed a protection scheme that utilizes alternating layers of a ceramic fabric and thick foam, which offers as much micrometeoroid protection as any spacecraft NASA has ever flown [51]. Bigelow Aerospace has successfully launched and deployed two inflatable space habitats, Genesis I and II.

Thermally cured rigidizable composite materials have only recently seen extensive development for use in space, but have become one of the most advanced rigidization materials available. Their historic lack of use was primarily due to the limited shelf life capabilities of materials available in the past, and to the need for high cure energies of the matrix resins.

Materials advances in recent years have fueled the development of this rigidization approach and improved its viability. Originally, the matrix resin is an additional cure, space-qualified epoxy that cures at 120°C. The cure time was approximately 45 minutes [52].  Matrix resins and cure times are a crucial topic of interest to achieve fast and reliable production of CFRP composites.

Our goal is to research and develop state of the art matrix resins to achieve our goal of creating box frames in under 90 seconds.  Current state of the art is approaching this goal for specific classes of resins.  Kim et al. realized curing of around 30 seconds per mm at 135C using a phenolic resin.  Wang et al. found that diluting a low viscosity slow gel to gel and cure epoxy with a high viscosity fast cure effectively improves the resin flow and maintains fast cure < 1 min [56].  Randolph et al. Showed TPO materials curing in under 10 seconds and having reached 80% of modulus and degree of cure (DOC) [57].  Ilie et al. was able to reach 40 %  DOC  in under 10 seconds by modifying the polymerization mechanism to a RAFT polymerization [58]. Figure 2 exemplifies such studies with an example of temperature dependence on DOC as a function of time, with a DOC of 90% in under 30 seconds.

The research environment for fast curing, and thermally activated resins is rich, and it is shown it is also possible to add fillers to increase certain properties.  

Albliz’s rich review [58] states added nano-fillers to improve thermal, mechanical and other specific properties such as adding magnetic particles to generate heat in an alternating magnetic field, or adding NIR additives to absorb NIR and generate heat.

It's also possible to add other functional fillers such as absorbing cosmic rays. Also the addition of microencapsulation healing agents into the polymer matrix has the effect of healing cracks and filling in pores [59].

Chart, line chart, scatter chart

Description automatically generated

Figure 2: Example of temperature dependence on DOC as a function of time. [60]

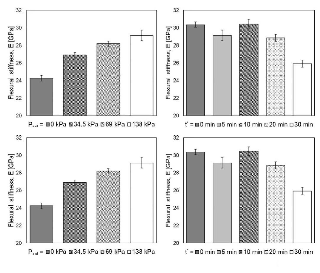
As for mechanical properties, it has been widely shown that CFRP composites have high strength, high stiffness, and low density, Figure 1. Various processing techniques, Figure 3, have achieved this though with varying results.  Standing out is a relatively new process is a heated and externally pressurized VARTM process [54]. The external pressure applied on the vacuum baggage was up to 138 kPa for various time durations after post filling to enhance the mechanical properties of the laminate while maintaining the void content below 1%.  

The application of pressure over various times shows that the pressure should be applied at the right time. Figure 4 illustrating the results of this study, shows applying various pressures at specific times during the cure increases flexural strength and stiffness.  This confirms earlier studies that pultrusion type technologies can enhance mechanical properties, illustrated in an Ashby diagram, Figure 5, and exemplified by Dow in its pultrusion VORAFORCE technology in producing wind turbine blades. Zhang et al. reduced the cycle time of heated and externally pressurized VARTM by using rapid curing epoxy resin, and preheating the mold and the fiber to shorten the mold filling time [53]. Considered the most cost effective process in terms of equipment and tooling over existing technologies [61] still limited to flat parts.

Instaclave Technologies' DPART innovation builds on existing resin and CFRP composite technology to create stronger and more reliable composite structures in rapid format.

Our research and development directly falls under Focus Area 15: Materials, Materials Research, Structures, and Assembly, and specifically T12.07 Design Tools for Advanced Tailorable Composites (STTR) and Z4.06 Manufacturability Assessment as a Design Constraint for Advanced Tailorable Composites (SBIR).

We believe our proprietary process with active development of materials systems and processes can achieve significant advances in these areas.

Diagram

Description automatically generated

Figure 3: Various resin transfer molding (RTM) methods. a) Low-pressure RTM b) High-pressure RTM c) compression RTM [61]

Figure 4: Effect of applying various pressures and times on flexural strength and stiffness [54].


Diagram

Description automatically generated

Figure 5: Tensile strength vs fiber volume ratio of various composite manufacturing technologies [61]


Citations:

[1] Traceski, Frank, T. Acquisition Review Quarterly—Spring 1999

[2] Cheng P, Gong X-J, Hearn D, Aivazzadeh S. Tensile behavior of patch-repaired CFRP laminates. Compos Struct. 2011;93(2):582–9.

[3] Hu FZ, Soutis C. Strength prediction of patch-repaired CFRP laminates loaded in compression. Compos Sci Technol. 2000;60:1103–14.

[4] Budhe et al. Appl Adhes Sci (2018) 6:3 https://doi.org/10.1186/s40563-018-0104-5

[5] M.K. Hagnelletal. Heliyon 6(2020)e03716

[6] European Commission, Reducing CO2 emissions from passenger cars, https://ec .europa.eu /clima /policies /transport /vehicles /cars _en, 2017.

[7] European Commission, Reducing emissions from aviation, https://ec .europa .eu /clima /policies /transport /aviation _en, 2017. (Accessed19 August 2014).

[8] S. Chu, A. Majumdar, Opportunities and challenges for a sustainable energy future, Nature 488 (2012) 294–303.

[9] Andrew J. Timmis, Alma Hodzic, Lenny Koh, Michael Bonner, Constantinos Soutis, Andreas W. Schäfer, Lynnette Dray, Environmental impact assessment of aviation emission reduction through the implementation of composite materials, Int. J. Life Cycle Ass. 20 (2015) 233–243.

[10] European Commission, Clean sky 2: developing new generations of greener aircraft, https://ec .europa .eu /research /press /jti /factsheet _cs2 -web .pdf, 2014. (Accessed19 August 2014).

[11] G. Fontaras, Z. Samaras, On the way to 130 g CO2/km-estimating the future characteristics of the average European passenger car, Energy Policy 38 (2009) 1826–1833.

[12] Jason M. Luk, Hying Chul Kim, Robert De Kleine, Timothy J. Wallington, Heather L. Maclean, Review of the fuel saving, life cycle emission, and ownership cost impacts of lightweighting vehicles with different powertrains, Environ. Sci. Technol. (2017) 8215–8228.

[13] Dan Zenkert, An Introduction to Sandwich Structures, KTH EngineeringSciences, Stockholm, 2005.

[14] Eric Jacques, Maria H. Kjell, Dan Zenkert, Göran Lindbergh, Piezo-electrochemical effect in lithium-intercalated carbon fibers, Electrochem. Commun. 35(Supple-mentC) (2013) 65–67.

[15] S. Poulikidou, C. Schneider, A. Björklund, P. Kazemahvazi, S. Wennhage, D. Zenkert, A material selection approach to evaluate material substitution for minimizing the life cycle environmental impact of vehicles, Mater. Des. 83 (2015) 704–712.

[16] C.J. O’Reilly, P. Göransson, A. Funazaki, T. Suzuki, S. Edlund, C. Gunnarsson, J-O. Lundow, P. Cerin, C.J. Cameron, P. Wennhage, J. Potting, Life cycle energy optimi-sation: a proposed methodology for integrating environmental considerations early in the vehicle engineering design process, J.Clean. Prod. 135 (2016) 750–759.

[17] IOP Conf. Series: Materials Science and Engineering 971 (2020) 032011 IOP Publishing doi:10.1088/1757-899X/971/3/032011

[18] Masilamani R, Dhandapani N, Kumar K, Mani K 2017 A review on usage of carbon fiber

reinforced plastics

[19] Fonseca J H, Han G, Quagliato L, Kim Y, Choi J, Keum T, Kim S, Kim N and Lee H J 2019

Design and numerical evaluation of recycled-carbon-fiber-reinforced polymer/metal hybrid

engine cradle concepts International Journal of Mechanical Sciences 163 105-15

[20] Kopp G, Beeh E, Schšll R, Kobilke A, Stra P, Krieschera M 2012 New lightweight structures

for advanced automotive vehicles–safe and modular Procedia - Social and Behavioral

Sciences 48 350-62

[21] Herzl, G. G., “Tubular Spacecraft Booms (Extendible, Reel Stored)” NASA SP-

8065, 1971.

[22] Frisch, H. P., “Thermally Induced Vibrations of Long Thin-Walled Cylinders of

Open Section,” J. Spacecraft and Rockets, vol. 7, no. 8, Aug. 1970, pp. 897-905.

[23] NASA Image Exchange, Image MSFC-0302435, http://nix.ksc.nasa.gov.

[24] D. Murphy, “Validation of a Scalable Solar Sailcraft System,” Journal of Spacecraft

and Rockets 2007, 0022-4650 vol.44 no.4 (797-808).

[25] R. E. Freeland, R. G. Helms and M. M. Mikulas “The Applicability of Past

Innovative Concepts to the Technology for New Extremely Large Space Antenna/Telescope Structures,” 2006 SAE International, 06ICES-224.

[26] Wade, W. D. and Casebolt, M. P., U.S. Pat. 5,446,474, “Redeployable Furlable Rib

Reflector,” issued Aug. 29, 1995.

[27] Freeland, R. E., Bilyeu, G. D., Veal, G. R., and Mikulas, M.M., “Inflatable Deployable Space Structures Technology Summary,” IAF-98-I.5.01 presented at the 49th Congress of the International Astronautical Federation, 28 Sept. - 2 Oct. 1998, Melbourne, Australia.

[28] Murphey, T. W. and Sanford, G. E., “A Test Method to Assess the Foldability of

Flexible Structural Materials,” 48th AIAA/ASME/ASCE/AHS/ASC Structures, Structural Dynamics, and Materials Conference, 23-26 April 2007, AIAA-2007-1820.

[29] Lin, J. K. H., Knoll, C. F. and Willey, C. E., “Shape Memory Rigidizable Inflatable

(RI) Structures for Large Space Systems Applications,” 47th AIAA/ASME/ASCE/AHS/ASC Structures, Structural Dynamics, and Materials Conference, 1-4 May 2006, AIAA 2006-1896.

[30] Campbell, D. Lake, M. S., Scherbarth, M. R., Nelson E., and Six, R. W., “Elastic

Memory Composite Material: An enabling technology for future furlable space structures,” 46th AIAA/ASME/ASCE/AHS/ASC Structures, Structural Dynamics, and Materials Conference, 18-21 April 2005, AIAA-2005-2367.

[31] Murphey, T. W. and Mikulas, M. M., “Some Micromechanics Considerations on the

Folding of Rigidizable Composite Materials,” 42nd AIAA/ASME/ASCE/AHS/ASC

Structures, Structural Dynamics, and Materials Conference, AIAA-2001-1418.

[32] Murphey, Thomas, W. Large Strain Composite Materials In Deployable Space Structures

[33] Pereira, T. Journal of COMPOSITE MATERIALS, Vol. 43, No. 05/2009

[34] S. Huybrechts and T. E. Meink, "Advanced grid stiffened structures for the next generation of launch vehicles," in 1997 IEEE Aerospace Conference, 1997, pp. 263-270 vol.1.

[35] C. A. Theriot, B. Gersey, E. Bacon, Q. Johnson, Y. Zhang, J. Norman,

et al., "Potential Use of In Situ Material Composites such as Regolith/Polyethylene for Shielding Space Radiation," presented at the 18th IAA Humans in Space Symposium: The Next Golden Age, Houston, TX; United States, 2011.

[36] W. H. Zhong, G. Sui, S. Jana, and J. Miller, "Cosmic radiation shielding

tests for UHMWPE fiber/nano-epoxy composites," Composites Science

and Technology, vol. 69, pp. 2093-2097, 2009/10/01/ 2009.

[37] Toor, Zaigham Saeed. Journal of Space Technology, Vol. 8, No. 1, July 2018

[38] Jones, J.A. and Wu, J.J. (1999). Inflatable Rovers for Planetary Applications, In:

Proceedings of the International Society for Optical Engineering 1999 Mobile Robots,

pp. 63–68, Sponsored by Society of Photo-Optical Instrumentation Engineering, Bellingham

WA.

[39] Carreras, R.A., Marker, D.K., Rotge, J.R., Wilkes, J.M. and Duneman, D. (1999).

Deployable Near-Net Shape Membrane Optics, In: Proceedings of The International Society

for Optical Engineering High-Resolution Wavefront Control, pp. 232–238, Sponsored by

Society of Photo-Optical Instrumentation Engineering, Bellingham WA.

[40] Rawal, S.P., Barnett, D.M. and Kustas, F.M. (1999). Multifunctional Composite Structures

Designs, In: Proceedings of 31st Int. SAMPE Technical Conf., pp. 307–318, publ. by

SAMPE, Covina CA.

[41] Christiansen, E.L., Kerr, J.H., De La Fuente, H.M. and Schneider, W.C. (1998). Flexible

and Deployable Meteoroid/Debris Shielding for Spacecraft, Int. Journal of Impact

Engineering, publ. by Elsevier, 125–136.

[42] Paesano, A. Journal of THERMOPLASTIC COMPOSITE MATERIALS, Vol. 16—March 2003

[43] Cooper, Brett J., "Rigidizable Inflatable Get-Away-Special Experiment (RIGEX) Post Flight Analysis, Ground Testing, Modeling, and Future Applications" (2009). Theses and Dissertations. 2412.

[44] Cassapakis, C., and M. Thomas (1995), Inflatable Structures Technology Develop-

ment Overview, AIAA 95-3738, April.

[45] Freeland, R. E., G. D. Bilyeu, G. R. Veal, and M. M. Mikulas (1998), Inflatable

Deployable Space Structures Technology Summary.

[46] Thomas, M. (1992), Inflatable Space Structures: Redefining aerospace design concepts keeps costs from ballooning

[47] Wertz, J. R., and W. J. Larson (2003), Space Mission Analysis and Design, Micro-

cosm Press.

[48] Philley Jr., T. L. (2003), Development, Fabrication, and Ground Test of an Inflatable

Structure Space-Flight Experiment, MS Thesis, Air Force Institute of Technology

(AU), Wright-Patterson AFB OH.

[49] Mikulas Jr, M. M. (1978), Structural Efficiency of Long Lightly Loaded Truss and

Isogrid Columns for Space Applications, NASA Technical Memorandum, (78687).

[50] D'Alto, N. (2007), The Inflatable Satellite, Invention and Technology, 23 (1), 38-43.

[51] Phipps, K. D. (2006), Beyond Balloons: Inflatable Modules Full of Potential, Space

Center Roundup, 45 (9), 8-9.

[52] David Cadogan and Stephen Scarborough. "Rigidizable materials for use in gossamer space inflatable structures," AIAA 2001-1417. 19th AIAA Applied Aerodynamics Conference. June 2001.

[53] K. Zhang Y. Gu Z. Zhang Effect of rapid curing process on the properties of carbon

fiber/epoxy composite fabricated using vacuum assisted resin infusion molding

Materials & Design 54 (1980–2015), 2014. 624 631

[54] Yalcinkaya MA, Sozer EM, Altan MC. Fabrication of high quality composite laminates by pressurized and heated-VARTM. Compos A Appl Sci Manuf 2017;102:336–46.

[55] Sumin Kim, Hee-Soo Kim, Hyun-Joong Kim, Han-Seung Yang, Fast curing PF resin mixed with various resins and accelerators for building composite materials, Construction and Building Materials, Volume 22, Issue 10, 2008, Pages 2141-2146, ISSN 0950-0618, https://doi.org/10.1016/j.conbuildmat.2007.07.007.

[56] Wang, Youjiang et al. Additives on the Rheological Properties of Fast Curing Epoxy Resins. Journal of Silicate Based and Composite Materials, Vol. 67, No. 4 (2015), 132–134. p. http://dx.doi.org/10.14382/epitoanyag-jsbcm.2015.21

[57] Luc D. Randolph et al. The effect of ultra-fast photopolymerisation of experimental composites on shrinkage stress, network formation and pulpal temperature rise, Dental Materials, Volume 30, Issue 11, 2014, Pages 1280-1289, ISSN 0109-5641,

https://doi.org/10.1016/j.dental.2014.09.001.

[58] Nicoleta Ilie, David C Watts, Outcomes of ultra-fast (3 s) photo-cure in a RAFT-modified resin-composite, Dental Materials, Volume 36, Issue 4, 2020, Pages 570-579, ISSN 0109-5641,

https://doi.org/10.1016/j.dental.2020.02.007.

[59] Abliz, Dilmurat. Polymers & Polymer Composites, Vol. 21, No. 6, 2013

[60] Nand Jee Kanu, Eva Gupta, Umesh Kumar Vates, Gyanendra Kumar Singh, Self-healing composites: A state-of-the-art review, Composites Part A: Applied Science and Manufacturing,

Volume 121, 2019, Pages 474-486, ISSN 1359-835X, https://doi.org/10.1016/j.compositesa.2019.04.012.

[61] Dildar Ali Lakho, et al. Study of the Curing Kinetics toward Development of Fast-Curing Epoxy Resins, Polymer-Plastics Technology and Engineering, 56:2, 161-170, 207. DOI: 10.1080/03602559.2016.1185623

[62] Muhammad Salman Sarfraz, Hyunsoo Hong, Seong Su Kim, Recent developments in the manufacturing technologies of composite components and their cost-effectiveness in the automotive industry: A review study, Composite Structures, Volume 266, 2021, 113864, ISSN 0263-8223, https://doi.org/10.1016/j.compstruct.2021.113864.

Page